诞生于2008年金融危机的背景下,比特币被寄予了成为传统金融体系最终替代品的期望。在其大部分生命周期中,比特币与股票市场之间并没有太多的相关性。然而,在近几年,随着越来越多的机构和散户投资者涌入加密市场,人们开始注意到比特币与股票市场之间的相关性似乎越来越高。
特别是在2022年整个年度中,比特币与股票价格之间展现出了明显的高度相关性。通过观察TradingView平台上比特币(BTC)与标准普尔500指数(SPX)、纳斯达克100指数(NDX)的历史价格走势图,可以清晰地看出它们之间存在着强烈的相关性。

时间范围:2022年1月1日-2023年1月1日,来源于:TradingView
这种强相关性的关系也延伸到了加密矿业公司的股价与比特币价格之间。由于加密矿业公司的盈利,主要依赖于开采比特币和其他加密货币所获得的收入。当比特币价格上涨时,挖矿的盈利能力也随之增加,从而提升了加密矿业公司的价值。
为了能更好地佐证加密矿业公司股价与比特币价格之间的相关性强弱,我们引入相关性系数概念。
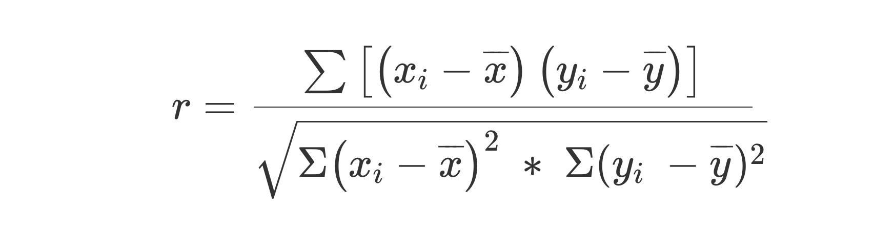
相关性系数概念:
相关系数是量化相关性分析中两个变量之间线性关系强度的特定测定,以符号 r 表示,其取值范围在-1到1之间。

图为相关性系数公式
当相关性系数为1时,表示两个变量之间存在完全正向线性关系,即它们的变化方向完全相同。且r数值越接近1,说明正相关性越高;当相关性系数为-1时,表示两个变量之间存在完全负向线性关系,即它们的变化方向完全相反。且r数值越接近-1,说明负相关性越高。
当相关性系数接近0时,表示两个变量之间几乎没有线性关系,即它们的变化独立于彼此。
比较对象:
选取5家加密矿业公司,他们分别是Marathon Digital、Riot Blockchain、Core Scientific、Hut 8和HIVE Blockchain Technologies。分析自2019年到2023年的股票价格与比特币价格的表现,借助相关性系数公式,得出结果如下:

通过表中数据可以观察到,当前阶段这些单个加密美股上市公司的股价与比特币价格之间的相关性系数大约在0.7到0.85之间,呈现出非常高的正相关性。这种强相关性使得投资者将比特币价格视为加密矿业公司股价的重要指标,因为它能够反映市场对加密货币的整体需求和市场状况。
然而,需要注意的是,加密矿业公司的股价与比特币价格之间的相关性并非完全一致。其他因素,如公司的经营状况、市场竞争、行业前景等,也会对加密矿业公司的股价产生影响。因此,投资者在进行决策时,除了比特币价格外,还需要综合考虑其他因素来评估加密矿业公司的潜在价值和风险。

值得一提的是,随着比特币逐渐成为主流资产,越来越多的人开始认识到加密货币作为一种出色的价值储存手段。此外,一些企业如Tesla、MicroStrategy和Meitu等也开始在其资产负债表上持有更多的比特币。
MicroStrategy首席执行官Michael Saylor已将比特币作为一种资产储备策略。根据数据显示,截至2023年7月31日,该公司持有152,800枚BTC,当前价值约为38.65亿美元。目前,MicroStrategy的价值主要来自于其大量持有的比特币,其股价与比特币价格高度相关,相关系数达到了0.9,甚至超过了一些专门从事比特币业务的企业。
即使在过去几年中,可以观察到一些短期的相关性现象,特别是在美股大幅波动时,可能会对比特币价格产生一定影响。但鉴于加密市场的特殊性和相对较短的历史,我们仍需要更多的时间和数据来确定这种相关性关系的持久性和长期趋势。
*免责声明:以上内容仅供参考,不构成投资建议。